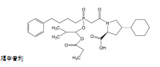
分子中含有膦酰基的血管紧张素转换酶抑制药是
A、
B、
C、
D、
E、
【正确答案】
A
【答案解析】
提交答案
关闭