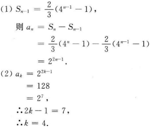
问答题
(1)求{an}的通项公式;(2)若ak=128,求k。
【正确答案】
【答案解析】
提交答案
关闭