问答题
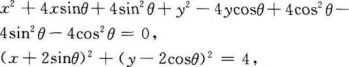
已知关于x,y的方程x2+y2+4xsinθ-4ycosθ=0.
(1)证明:无论θ为何值,方程均表示半径为定长的圆;
【正确答案】
(1)证明:化简原方程得
所以,无论θ为何值,方程均表示半径为2的圆.
【答案解析】
提交答案
关闭