问答题
(本小题满分12分)
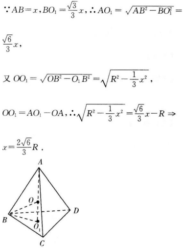
正四面体ABCD内接于半径为R的球,求正四面体的棱长。
【正确答案】
在正四面体(如图)中作AO1⊥底面BCD于O1。
∴O1为△BCD的中心,
∵OA-OB-OC-OD=R,
∴球心在底面的BCD的射影也是O1,
∴A、O、O1三点共线,
设正四面体的棱长为x
【答案解析】
提交答案
关闭